Pidato Uga Diarani

May 05, 2021

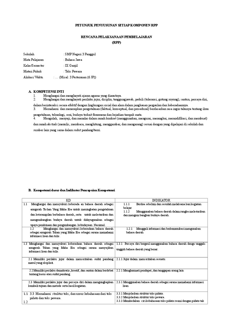
kerangka pidato uga diarani opo?? - Brainly.co.id kerangka pidato Uga diarani - Brainly.co.id pidato Uga diarani = ….?? - Brainly.co.id Nindhakake pidato kanthi sepontan uga diarani metode - Brainly.co.id pidato Uga diarani = ….?? - Brainly.co.id Uluk salam ing sesorah / pidato uga diarani …a. Surasa basab. Wasana basac. Simpuland. Purwaka - Brainly.co.id PENGEMBANGAN MEDIA PEMBELAJARAN SESORAH DENGAN APLIKASI ADOBE FLASH UNTUK SISWA KELAS IX SEKOLAH MENENGAH PERTAMA SKRIPSI Diaj Pidhato uga diarani…. A.tanggap wacana B.tanggap warsa C.tanggap arsa D.tanggap wayang Mohon - Brainly.co.id Tolong Segera di jawab ya kak Besok di kumpulkan! - Brainly.co.id Ayahane Tembung.rtf sesorah Uga diarani - Brainly.co.id Aplikasi Adalah Brainly PENGEMBANGAN MEDIA PEMBELAJARAN SESORAH DENGAN APLIKASI ADOBE FLASH UNTUK SISWA KELAS IX SEKOLAH MENENGAH PERTAMA SKRIPSI Diaj pidato Uga diarani = ….?? - Brainly.co.id Sesorah uga diarani……….. - Brainly.co.id wong kang pegawehane pidato uga diarania.Pamedhar sastrab.Pamedhar wangsitc.Pamedhar - Brainly.co.id pidato ing basa jawa uga diarani - Brainly.co.id Sesorah 0809 UAS Ganjil Bahasa Daerah Kelas 8 PPT - KULO NUWUN … PowerPoint Presentation, free download - ID:3953692 BUKU BAHASA DAERAH JAWA TIMUR KIRTYA BASA SMP KELAS 9 | Shopee Indonesia Buku Bahasa Jawa Kelas X [5lwo59d368qj] RPP _1 PENGEMBANGAN MEDIA PEMBELAJARAN SESORAH DENGAN APLIKASI ADOBE FLASH UNTUK SISWA KELAS IX SEKOLAH MENENGAH PERTAMA SKRIPSI Diaj PPT - KULO NUWUN … PowerPoint Presentation, free download - ID:3953692 Soal Bahasa Jawa Kelas 6 uluk salam ing sesorah uga diarani - Brainly.co.id Sesorah - Wikipedia Lebda Basa Jawa : Sesorah (Tanggap Wacana) GEGURITAN 1 - YouTube Aplikasi Adalah Brainly Petunjuk Penyusunan Setiap Komponen Rpp Seychelles Mulihake Bisnis karo Liburan Reuni luk salam ing sesorah uga diarani Salam Pambukio, ,3.atineTong kang ahli pidato araneusulana - Brainly.co.id Contoh Cerita Cekak Bahasa Jawa Contoh Z – cute766 Soal Bhs Jawa Kls 6 SPEECH FROM THE THRONE - Definisi lan dasanama saka speech from the throne ing bausastra Basa Inggris Buku Bahasa Jawa Kelas X [5lwo59d368qj] Contoh Pidato Ora Resmi Bahasa Jawa | Contoh Soal Dan Materi Pelajaran 3 pidato kang ditindakake kanthi dadakan utawa spontan uga diarani cara? - Brainly.co.id Apa sing diarani “synecdoha”? Tuladha panganggone ing wicara | Informasi sing migunani kanggo kabeh wong. Aplikasi Adalah Brainly TANTRI BASA KELAS 6 SEKAR RAMADHANTI D.N Pages 51 - 100 - Text Version | AnyFlip PENGEMBANGAN MEDIA PEMBELAJARAN SESORAH DENGAN APLIKASI ADOBE FLASH UNTUK SISWA KELAS IX SEKOLAH MENENGAH PERTAMA SKRIPSI Diaj Katnappe Archives - One Angry Gamer 0809 UAS Ganjil Bahasa Daerah Kelas 8 - [PDF Document] RPP SESORAH KELAS XII Materi Sesorah - RUANG LITERASI Contoh Cerita Cekak Bahasa Jawa Contoh Z – cute766 03.07-Komprehensi Lisan.pdf - Staff UNY - Universitas Negeri … UAS Ganjil Bahasa Daerah Kelas 8 Lebda Basa Jawa : Sesorah (Tanggap Wacana) pidato ing basa Jawa Uga diarani - Brainly.co.id Berikut Teks Pidato Lengkap Sultan ‘Sapa Aruh’ Warga DIY Hadapi Corona – KRJOGJA LAPORAN INDIVIDU SESORAH | bahasajawaips PENGKAJIAN NILAI NILAI LUHUR BUDAYA SPIRITUAL BANGSA DAERAH JAWA TIMUR I Materi Bahasa Jawa Kelas 5 Semester 2.docx - [PDF Document] Web viewbanget. Apamaneh kewan-kewan mau ora bisa diajak komunikasi kaya manungsa. Mesthi mbutuhake wektu suwe lan kesabaran - [DOCX Document] Kumpulan Geguritan by Sudiyatmana | Shopee Indonesia Pandowo Limo ( sifat, watak lan satriyane) Untitled pidato ing basa jawa uga diarani - Brainly.co.id Untitled Buku Bahasa Jawa Kelas X [5lwo59d368qj] TANTRI BASA KELAS 6 SEKAR RAMADHANTI D.N Pages 51 - 100 - Text Version | AnyFlip Untitled PPT - KULO NUWUN … PowerPoint Presentation, free download - ID:3953692 Materi Sesorah Kelas Ix Smp.rtf [pon2wkywpmn0] PENGERTIAN DAN CONTOH SESORAH(lengkap) | KHAIRUL IHSAN SEBUAH PUISI UNTUK EMBUNG - YouTube Perkembangan B^hasa Jawa - PDF Download Gratis Untitled Basa Jawa 9 PROTA Upload - [PDF Document] PROGRAM PASCASARJANA UNIVERSITAS SEBELAS MARET SURAKARTA 2012 BABADADA, Basa Jawa - sterreichisches Deutsch, kamus visual - Bildwrterbuch Javanese - Austrian German, visual dictionary MCP Prambanan – Page 4 – Tetap Semangat Untuk Masa Depan Buku Siswa Kelas 11 Bahasa Jawa Sastri Basa 2015 pour Android - Téléchargez l’APK Sima Iku Diarani . Pandhawa - fasrasia LAPORAN INDIVIDU PRAKTIK PENGALAMAN LAPANGAN ( PPL ) SMP NEGERI 1 SLEMAN Jalan Bhayangkara 27 Medari, Sleman, Yogyakarta 55515 D PPT - KULO NUWUN … PowerPoint Presentation, free download - ID:3953692 PROGRAM PASCASARJANA UNIVERSITAS SEBELAS MARET SURAKARTA 2012 Keterampilan Berbicara dengan Pidato 4 Macam Metode Pidato beserta Penjelasannya - Berpendidikan.Com viewIntonasi utawa lagu swara 2. Sikap 3. Gaya basa 4. Wirama Anggone pidhato bisa tumindak kanthi rancag lan apik, perlu dianakake kagiyatan pambuka, yaiku : a. Nata pokok-pokok pikiran Untitled Mula Bukane Diarani Desa Kaliboto - Catatan Pelajar Buku Bahasa Jawa Kelas X [5lwo59d368qj] uluk salam ing sesorah uga diarani - Brainly.co.id Materi Sesorah Kelas Ix Smp.rtf [pon2wkywpmn0] PENGEMBANGAN MODEL KAMUS PRAKTIS JAWA-INDONESIA DAN INDONESIA-JAWA BERBASIS AUDIOLINGUAL PADA APLIKASI ANDROID UNIVERSITAS NEGER Pranatacara Dening : Sdwijosusastro. - ppt download Rangkuman Ips Smp 7 8 9 PPT - KULO NUWUN … PowerPoint Presentation, free download - ID:3953692 HASA DAN SUSASTRA D LAM GUNTING Heru Wahyu Kismoyo - Posts | Facebook Perkembangan B^hasa Jawa - PDF Download Gratis Sang Nananging Jagad | Hamemayu Hayuning Bawana | Halaman 29 Aplikasi Adalah Brainly Untitled

Contoh Teks Pembukaan Pidato

Pidato Singkat Isra Miraj