Bacalah Kutipan Cerpen Berikut

May 04, 2021

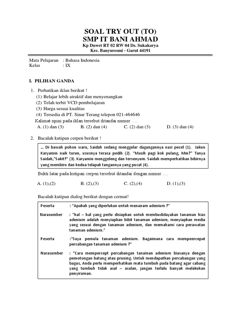
DOC) Bacalah kutipan cerpen berikut | desy aulia - Academia.edu Bacalah Kutipan Cerpen Berikut Untuk Menjawab Soal Nomor 1 Tema kutipan cerpen tersebut adalah - Brainly.co.id tuliskan yg menjadi sebab konflik pada kutipan cerpen tersebut - Brainly.co.id bacalah kutipan cerpen berikut a. Tentukanlah latar tempat, waktu, dan suasana disertai bukti - Brainly.co.id 11 bacalah kutipan cerpen berikut ! kamar yang berukuran 3 × 4 - Brainly.co.id Bacalah kutipan cerpen berikut!Di bawah pohon waru, Saidahmenggelar dagangannya nasi - Brainly.co.id bacalah kutipan cerpen berikut! kemudian,tulislah cerita dengan kalimat sendiri berdasarkan kutipan - Brainly.co.id Bacalah kutipan cerpen berikut! (1)Kejengkelanku yang sudah mulai hilang kini (1)Kejengkelanku yang sudah mulai hilang kini munc B.IND PAKET E Bahasa indonesia(1) SOAL BERDASARKAN JABARAN KISI-KISI UJIAN NASIONAL C. 3 D. 4 Bacalah kutipan cerpen berikut kemudian - [PDF Document] Keunggulan kutipan cerpen tersebut adalah….. Please bantuin dong - Brainly.co.id soal DOC) SOAL USBN PAKET 2 ( 1-45) | Sadewa Wenas Arkananta - Academia.edu Bacalah Kutipan Cerpen Berikut Untuk Menjawab Soal Nomor 1 - [DOC Document] Bahasa indonesia(1) kelas11_terampil-berbahasa-indonesia-prog-bahasa_gunawan-wendi-uti by s. van selagan - issuu To un 2015 bhs indonesia b Soal Cerpen Kls 9 12. kutipan cerpen tersebut merupakan bagian? - Brainly.co.id Soal b. indonesia1 Komentar sesuai isi kutipan cerpen di atas adalah…A Sikap tokoh Pak Pos yang berbuat adil - Brainly.co.id Amanat yang sesuai kutipan cerpen tersebut adalah . . . A) Kita harus selalu mengenang orang yang - Brainly.co.id Cermati Kutipan Cerpen Berikut Bacalah kutipan cerpen “Wesel” berikut untuk mengerjakan soal nomor 1 - 4 ! latihan soal b.indonesia 19. Bacalah kutipan cerpen berikut!Ayah mengamati aku dari atas sampai bawah Ia berdiri dan - Brainly.co.id Soal b. indonesia1 BEDAH KISI-KISI UJIAN NASIONAL BAHASA INDONESIA SMP - ppt download PREDIKSI UN B INDONESIA SMP CILACAP 2015 PDF) UKH BAHASA INDONESIA XI K13: CERPEN | Dwi Kristianto - Academia.edu SOAL. 1. Kuingin kau berbohong padaku. Seperti yang kau utarakan kemarin, dan yang kemarin dulu itu. Ketika mentari meredup berpendar di pucuk daun sebelah. - ppt download watak tokoh novelk perbedaan penggunaan bahasa pada kedua kutipan cerpen tersebut adalah….. - Brainly.co.id Soal Dan Jawaban Tentang Cerpen - Guru Ilmu Sosial kelas11_program-bahasa-aktif-dan-kreatif-berbahasa-indonesia_adi by s. van selagan - issuu BEDAH KISI-KISI UJIAN NASIONAL BAHASA INDONESIA SMP - ppt download SOAL BERDASARKAN JABARAN KISI-KISI UJIAN NASIONAL C. 3 D. 4 Bacalah kutipan cerpen berikut kemudian - [PDF Document] Cermati Kutipan Cerpen Berikut Untuk Soal Nomor 18 Dan 19 ubahlah kutipan cerpen berikut menjadi sebuah naskah drama - Brainly.co.id CONTOH SOAL DAN PEMBAHASAN TENTANG AMANAT CERITA ~ ZUHRI INDONESIA 80 Contoh Soal Cerpen Pilihan Ganda beserta Jawabannya Amanat yang terdapat pada kutipan cerpen tersebut adalah A. Sebagai anak harus patuh pada kedua - Brainly.co.id Soal b. indonesia1 DOC) MODUL SMP KELAS IX | Dahlan Toyib - Academia.edu Makna kata ditimpali pada kutipan cerpen tersebut adalah…….. A. Mendapat B. Merasa C. - Brainly.co.id SUDUT PANDANG PENGARANG (POINT OF VIEW): RINGKASAN MATERI, SOAL, DAN PEMBAHASAN ~ ZUHRI INDONESIA Contoh Soal Cos Dan Jawaban Unsur Instrisik Cerpen - Guru Ilmu Sosial Prediksi Materi Esensial - ppt download Tugas Bahas Indonesia Bahasa indonesia(1) Soal Try Out Sastra Indonesia cerpen CONTOH SOAL DAN PEMBAHASAN TENTANG AMANAT CERITA ~ ZUHRI INDONESIA 9.) konflik kutipan cerpen tersebut adalah A.) perjuangan didin untuk kuliah tetapi tdk didukung - Brainly.co.id Watak, Latar, Dan Amanat Soal b. indonesia1 Contoh Soal Cos Dan Jawaban Unsur Instrisik Cerpen - Guru Ilmu Sosial Contoh Soal jawaban Bahasa Indonesia UNBK kelas 12 SMK | ErlanggaPutra cerpen Untitled bacalah kutipan cerpen di bawah ini lalu Jawablah soal berikut sudut pandang dalam kutipan cerpen - Brainly.co.id KUMPULAN SOAL CERPEN DAN KUNCI JAWABAN ~ ZUHRI INDONESIA Contoh Soal USBN Mapel Bahasa Indonesia Kurikulum 2013 - PELAJARAN BAHASA INDONESIA DI JARI KAMU Untitled Bacalah cuplikan cerpen berikut SOAL UN DAN PEMBAHASAN MENENTUKAN WATAK TOKOH CERITA ~ ZUHRI INDONESIA Bahasa indonesia(1) Contoh Soal Menentukan Penggunaan Majas dalam Teks Narasi cerpen - PELAJARAN BAHASA INDONESIA DI JARI KAMU SOAL WATAK CERPEN Kedua kutipan teks diatas memiliki perbedaan pola pengembangan yaitu dimulai dengan… - Brainly.co.id latihan soal b.indonesia LATIHAN SOAL PAS 1.docx sol uts bahasa Indoensia IX Latihan Soal Ujian dan Kunci Jawaban Bahasa Indonesia Tingkat SMP/MTs (2) | Kamus Data kelas11_aktif-dan-kreatif-berbahasa-indonesia_adi-yudi-amin by s. van selagan - issuu Konflik apa yang terjadi pada kutipan cerpen di atas? - Brainly.co.id Soal Try Out (To) Smp It Bani Ahmad: I. Pilihan Ganda Tugas Bandingkanlah Nilai yang Terkandung Dalam Kutipan Hikayat dan Cerpen Berikut - Operator Sekolah latihan soal b.indonesia 01. UNAS 2004/20005 Bacalah penggalan berikut! Tuti … - zenius.net Tolong di jawab, saya benar-benar butuh jawabannyaSoal : Bagian kutipan teks cerpen di atas - Brainly.co.id Contoh Soal Cerpen Dan Kunci Jawaban - Guru Ilmu Sosial Bahan Ajar Bahasa Indonesia SMP Kelas IX - ppt download Dokumen.tips contoh soal dan jawaban sas Bacalah Penggalan Cerpen Berikut Dengan Saksama SOAL DAN PEMBAHASAN BUKTI LATAR WAKTU UNTUK SMP ~ ZUHRI INDONESIA Tugas Indonesia Untitled 7 Unsur Intrinsik Cerpen dan Contoh Soalnya | idschool Soal Prediksi dan Try Out UJIAN NASIONAL .Kutipan cerpen berikut untuk mengerjakan soal nomor 7 s.d 9 SKL 6 Maka Karman bekerja dengan sangat hati-hati. … Kerangkanya kokoh dengan - [PDF Document] Bhs ind 2 a bantu please besok dikumpulin - Brainly.co.id SELAMAT DATANG DI ASMAN' BLOG: 2018 contoh cerpen Bacalah kutipan teks cerpen berikut untuk menjawab soal nomor 1 s. d. 3!Baginda raja mengadakan - Brainly.co.id Soal bahasa indonesia 1 a Bacalah kutipan cerpen berikut - PDF Free Download Bahasa Indonesia

Cerpen Adiwiyata 1000 Kata

Contoh Cerpen Perjuangan Pahlawan