Proposal Paguyuban

May 05, 2021

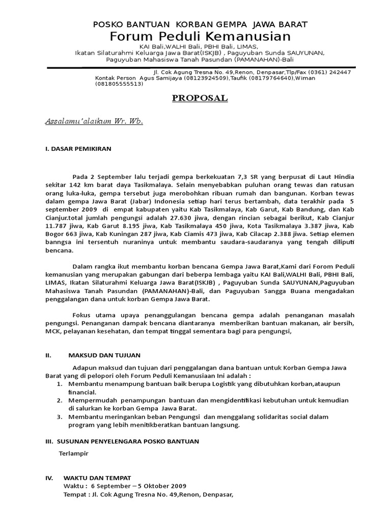
Contoh Proposal Dan Kegiatan Kerja Pengajuan Paguyuban Operator Sekolah Proposal Paguyuban Kesenian Tradisional DOC) PROPOSAL PAGUYUBAN SENI BUDAYA.doc | sing nonton - Academia.edu Proposal komputer Blusukan Smart: Contoh Proposal Pengajuan Sumbangan Dana untuk Sanggar atau Paguyuban (Disertai File Doc) Proposal komputer Proposal Bantuan Bencana Jabar [p6lk1m188m04] Proposal Bantuan Bencana JABAR DOC) PROPOSAL PERMOHONAN BANTUAN DAN SOSIAL PENGADAAN ALAT SENI MUSIK GAMBUS TAHUN ANGGARAN 2013 | affan gunawan - Academia.edu Proposal komputer Proposal | Paguyuban Penggemar Motor 94378868-Proposal-Bantuan-Bencana-JABAR.doc Proposal | PARIS-Sukahati PENIPUAN JOGJA : Nama Paguyuban Becak Dicatut Blog Archives - kenfasr Proposal Sponsorship [zpnxe77zwe4v] Contoh Proposal Sponsorship Sederhana - REVORMER.COM Permohonan Bantuan Kesenian [zpnxqprgky4v] Contoh Proposal Sponsorship Sederhana - REVORMER.COM Proposal Paguyuban Kesenian Tradisional - [DOCX Document] Alhamdulillah, proposal pengajuan Lahan… - Paguyuban Pedagang Pasar Tradisional Jalancagak | Facebook Contoh Proposal Paguyuban 2 PPT - Proposal Solusi Enterprise Network Paguyuban Vixion Jawa Barat (PaViJbar) PowerPoint Presentation - ID:6016707 Proposal Deklarasi Kepengurusan Pemuda Lira Asahan Renovation not relocation: the work of Paguyuban Warga Strenkali … PROGRAM PAGUYUBAN ORANG TUA WALI MURID (POWM) DALAM MENINGKATKAN PEMBINAAN KEGIATAN KEAGAMAAN PESERTA DIDIK DI MI MA ARIF BEGO SLEMAN - PDF Download Gratis Contoh Proposal Paguyuban 2 Blusukan Smart: Contoh Proposal Pengajuan Sumbangan Dana untuk Sanggar atau Paguyuban (Disertai File Doc) Paguyuban Tunggul Rahayu Akhirnya Dibubarkan - Zona Priangan Proposal Paguyuban Kesenian Tradisional - [DOCX Document] INDONESIA Former seminarians to contribute their knowledge and skills PROPOSAL SCS Pages 1 - 14 - Flip PDF Download | FlipHTML5 Persiapan Pembukaan Program Technology for Indonesia dan Social Entrepreneur 2014 – Paguyuban KSE IPB Syarat Pengajuan Proposal Bantuan Sarpras (Komunitas, Organiasi, Majlis Ta’lim, dll) Tahun 2017 | DAPODIK PAMEKASAN Unimus is Trying to Optimise Students Critical Thinking, Creativity, and Innovation trough PKM Workshop – UNIMUS Desa Longkek (Kecamatan Galis): Proposal Usulan Program Kuliah Kerja Nyata (KKN) proposal barongan.doc - [DOC Document] Proposal BangbangWetan Contoh Proposal Paguyuban 2 Kehadirannya Resahkan Warga, Bakesbangpol Garut Telusuri Paguyuban Tunggal Rahayu - Pikiran Rakyat Indramayu Proposal Kuda Kepang Keluarga Paguyuban Masyarakat Jawa Barat Mesir - Home | Facebook File:Kunjungan Wiki Mrebawani II ke Museum Benteng Vredeburg (02).jpg - Wikimedia Commons Sabilulungan - Bansos dan hibah online Kata Pengantar Proposal Pensi – Katapos PROPOSAL PEMBANGUNAN MAKAM JURUGAN 2011 - JURUGAN INFO Bali Tourism Project - Indonesia - Credit 0479 - P003738 - Correspondence - Volume 14 Proposal Sponsorship [zpnxe77zwe4v] PROPOSAL BANTUAN HIBAH ALAT KESENIAN KENDANG SENI BUDAYA PENCAKSILAT - PDF Free Download Overview of FACT Implementation at SPPQT Salatiga ppt download Grants:APG/Proposals/2017-2018 round 2/Wikimedia Indonesia/Proposal form/Education Program - Meta University Day Out 2016 Proposal | Vebuka.com CASPER: Contoh Proposal | Cara Membuat | Hari Sumpah Pemuda | 17 Agustus | Hari Pahlawan | Hari Pramuka | Hari Guru Santunan Anak Yatim PANCI HASIL SELEKSI PROPOSAL KEGIATAN ILMIAH MAHASISWA (PKM-P, PKM-AI, PKM-GT, PKM-KC) – Sub. Bagian Kemahasiswaan dan Alumni Proposal Kethoprak Kridho Mudo - Website Dengok Pandeglang Of Noise on Twitter: “Now on stage Marortu Gothic Metal \m/ #PandeglangOfNoise2015 http://t.co/iHq8HUxPdd” PLT Ketua Ikatan Pelajar Mahasiswa Kabupaten Siak Diduga Menggelapkan Dana Bantuan Proposal | Karimuntoday PDF) Community participation in the Mamre Community Health Project Penyampaian Dana Operasional Kesenian - Website Ngipak PROPOSAL BUDIDAYA IRAN LELE UNTUK PENGEMBANGAN KELOMPOK BUDIDAYA IRAN LELE “ PAGUYUBAN” Alamat: Rp. Palayangan Rt 03 /Rw 05 D Contoh Proposal Reuni Smp - Guru Ilmu Sosial Bantuan Modal Pedagang Pasar Johar Dikoordinasi Lewat Paguyuban - ANTARA Jateng Peduli Yatim Piatu, Ikatan PEKAMBAJA Galang Dana – Purnama News | Mengungkap Fakta Bukan Rekayasa Contoh Skripsi Komunikasi Metode Kualitatif Contoh Proposal Penelitian Kualitatif Komunikasi – cute766 Deklarasi Paguyuban Astadharma | Kerisnews Proposal bedah rumah - YouTube Proposal cagub 274816309-Proposal-Santunan-Anak-Yatim-doc.doc - PAGUYUBAN WARGA DESA \u2026\u2026 KECAMATAN \u2026 KABUPATEN \u2026 Sekretaris Hp Nomor Lampiran Perihal/20\u2026 | Course Hero Dira Setia Lenggana (dirasetia) on Pinterest Contoh Proposal Donatur - Guru Ilmu Sosial Bali Tourism Project - Indonesia - Credit 0479 - P003738 - Correspondence - Volume 14 Convolution Dwelling – Final Design Proposal – Chairul Ulid PROPOSAL SCS Pages 1 - 14 - Flip PDF Download | FlipHTML5 Intangible Cultural Heritage Experts of Central Asia Gather in Dushanbe Laos and ICHCAP Hold an Intangible Cultural Heritage Exp kontenPedia.com PROPOSAL BUDIDAYA IRAN LELE UNTUK PENGEMBANGAN KELOMPOK BUDIDAYA IRAN LELE “ PAGUYUBAN” Alamat: Rp. Palayangan Rt 03 /Rw 05 D Proposal Permohonan Bantuan Alat Masak Niswati Bahari Asep Haryono Personal Blog From Indonesia: SURAT TERBUKA : Proposal Permohonan Bantuan Proposal 17 Agustus Rt Desa Longkek (Kecamatan Galis): Proposal Usulan Program Kuliah Kerja Nyata (KKN) Dira Setia Lenggana (dirasetia) on Pinterest 83 Korban Kebakaran Pasar Kencong Nasibnya Terkatung-katung | Jatim TIMES DOC) PROPOSAL KEGIATAN | hufa indra - Academia.edu PARAS - Home | Facebook Untitled PROPOSAL | PAGUYUBAN HIPPOK Panitia Hut Kemerdekaan Ri Ke-74: Paguyuban Pemuda Jalan Melati Gamelt Proposal Degung - [PDF Document] tasoyus - 1396 Contoh Proposal Jalan Santai Agustusan Untuk Memperingati HUT Kemerdekaan RI ke 73 Tahun 2018. - kangjamal.com Notulensi Syawalan Guyub Rukun Kse 2011 - [PDF Document] 9. Lexicon of People, Events and Institutions Jasa Proposal Penggalangan Dana Yayasan Paguyuban Donasi Donatur LPI UNAIR menjadi Host Acara Rapat Paguyuban LPPM PTN Jatim - Lembaga Penelitian dan Inovasi UNAIR Search projects | Photos, videos, logos, illustrations and branding on Behance PDF) PROPOSAL PROGRAM KREATIVITAS MAHASISWA: RESTORASI SUNGAI CITARUM MELALUI PENERAPAN PENGELOLAAN KELAS APIK (APUNG YANG INOVATIF, KREATIF) Berlagak Jadi Panitia Kawin Massal, Pria ini Catut Nama Kades Kutosari - Kebumen Ekspres | Paling Tahu Kebumen Melihat Kegiatan Paguyuban Perantau Purbalingga (Papeling) di Jakarta | RADAR Banyumas Paguyuban Pemuda Desa Bongas Kulon_ Proposal Pengurugan Lapang Sepak Bola

Contoh Proposal Studi Kelayakan Bisnis Distro

Contoh Proposal Bidding